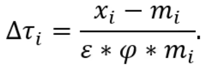
美国特朗普推出对等关税政策,素质上是对美国社会变化的回应,即源自美国的MAGA(Make America Great Again,让美国再次伟大)。特朗普正在2025年对MAGA标语进行从头定义,注入了全球化逆流下的本土从义。MAGA的从意和焦点政策标的目的次要环绕“美国优先”(America First)的展开,强调通过一系列政策恢复美国的经济、文化和军事地位。其经济政策标的目的以,焦点打算包罗,鞭策“美国制制”计谋,通过关税、补助和税收激励鞭策制制业回流,强化美国正在环节科技范畴的自从性,削减对中国的供应链依赖,加快新兴科技(AI、量子计较)的手艺使用。4月2日,美国总统特朗普征引美国《国际经济告急法》(IEEPA)、《国度告急形态法》(NEA)和商业法等,签订《互惠关税监管进口商品》行政令以应对庞大且持续的商业逆差所形成的国度告急形态。按照行政令,美国将对所有商业伙伴征收10%的“最低基准关税”和对美国商业逆差最大的商业伙伴正在10%的根本上加征关税。从行政令附件1税率来看,美国此次加征关税税率程度远跨越1930年美国大萧条期间,此中对中国加征关税税率为34%,仅次于越南、缅甸、斯蒂兰卡等东南亚国度;行政令附件2则指出涵盖1000多小类工业制制和医药产物。别的,按照美国商业委发布的加征关税税率公式(如图1,i 为国度,τi为征收税率,xi和mi别离是进出口额,ε为进口需求弹性指数,φ为关税-进口价钱传送系数),只要中美双边商业差额下降为零时,加征关税税率才会当令调整到零,这将是个很是漫长的过程。
一是提拔国度供应链中缀的顺应能力,美国经济和。特朗普认为,对外国出产商的日益依赖使得美国供应链容易遭到地缘中缀和供应冲击的影响,从而损害了美国的经济平安和。特朗普但愿以拆开全球汽车、制船、制药、科技产物、军工等制制业供应链的体例将财产链连续搬到美国。二是通过制制业带动美国经济苏醒,极大提拔美国的科技立异能力。特朗普认为,一方面美国制制业对带动美国P增加至关主要,制制业能够贡献美国P增量的35%和美国出口的60%,每个制制业工做岗亭可正在其他相关行业带动7-12个新的工做岗亭,美国制制业将成为美国科技立异的次要引擎,估计制制业的专利数将占到美国总专利数的55%、研发(R&D)收入将占到美国总研发收入的70%,这将极大地提拔美国的科技立异能力。三是削减商业逆差,填补减税政策缺口。特朗普认为,美国持久存正在的巨额商业逆差(2024年跨越1万亿美元)源于其他国度设置的“不公允”商业壁垒,包罗关税、差别、补助等。此次对等关税的考量要素不只包罗保守关税,还纳入(VAT)、行业补助、汇率政策、手艺尺度等非关税壁垒,以至将劳动力成本和尺度差别视为“不公允合作”要素。这一扩展使美国可以或许更全面地针对商业伙伴的“系统性劣势”,例如欧盟的系统或中国的财产出口退税等补助政策。四是填补减税政策缺口,减轻债权压力。特朗通俗过高额关税收入也能够填补此前减税政策导致的财务赤字。按照测算,仅考虑对全球商品征收10%的“基准关税”,每年可新增约3000亿美元收入,为后续减税法案供给资金支撑。国际货泉基金组织(IMF)最新演讲指出,2025年对全球经济增加形成的次要缘由是美国全面征收高额关税,从特朗普从意对内减税、对外征收关税的组合政策来看,2025年美国提高关税程度将导致全球经济增速放缓,估计2025 年全球全体 P 将下降0。8%,2026 年将下降1。3%。瑞银也指出,美国对全球其他地域全面征收10%关税,将会导致全球经济增速下调至多一个百分点,2025年、2026 年全球经济增加将放缓至2。9%和2。6%。我国率先对美国的加征关税政策做出回应。4月4日,中国国务院关税税则委员会发布通知布告,颁布发表对原产于美国的进口商品加征34%关税,别的,还颁布发表了对7类物项立即实施出口管制、将27家实体列入不靠得住实体清单和出口管制管控名单、暂停美国农产物进口天分及倡议反推销查询拜访等,反制手段具有针对性和矫捷性。欧盟组织也做出了强硬回应,欧盟委员会冯德莱恩4月3日正在声明中暗示,欧盟平均关税仅2。7%却被加征20%,属于“商业霸凌”,美国“对等关税”取美方想要告竣的方针各走各路,将对全球经济形成“沉沉一击”,损害全球消费者好处并激发从义进一步昂首,欧盟方面将采纳反制办法(估计4月底)。英国舆不雅查询拜访公司查询拜访显示,法国、西班牙、丹麦、和意大利支撑对美国实施报仇办法。此外,出口导向型新兴经济体,如越南考虑向WTO告状并寻求CPTPP协调应对,、以史为鉴,正在2018-2019年期间,中美商业争端不竭升级,中国采纳了一系列反制办法以应对美国的关税制裁。2019年2月到2021年9月,中美两边就商业冲突正在分歧阶段开展了多轮磋商,但一直未能完全告竣分歧。按照WTO 演讲显示,此次中美商业和导致全球商业增速下降约2%,对全球经济增加形成了1%的负面影响。估计此次商业冲突极有可能延续到下一届美国执政期间。因为本年美国对加纳税收的计较考虑了其他商业壁垒要素,如货泉和非关税壁垒等,因而加征关税的幅度远超市场预期。本年跟着美国加征关税政策的实施,估计更多国度将插手反制行列,全球商业系统和财产链布局可能面对猛烈沉构和调整,中国取日本、韩国、欧盟等次要经济体开展商业合做的可能性将上升。虽然通信行业并非此次对等关税政策的次要方针,可是将来美国仍有可能通过关税政策中国高科技产物进入美国市场,试图中国正在通信手艺范畴的兴起。美国特朗普的MAGA,将会不竭鞭策美国试图正在环节科技范畴连结全球领先地位,从导正在全球AI和云计较的使用生态。例如美国的Project 2025等焦点打算的施行,旨正在特朗普第二任期构成美国AI手艺劣势巩固取市场垄断,量子计较)的出口管制,通过《人工智能扩散框架》将中国列为“Tier 3全面禁运国”,导致所有高端AI芯片、模子权沉、云计较办事对华出口被全面。取此同时,支撑美国大型科技公司,如谷歌、微软等正在全球扩和AI智算核心设备,巩固其全球AI生态从导权。估计,将来美国可能继续以风险托言,扩大对美国客户对中国通信运营商的云计较和AI办事的利用,中国电信运营商通过云平台供给基于美国芯片的算力办事,一是全球供应链沉构场合排场下的区域化增加机缘。美国加征关税政策将会导致全球医疗、汽车等财产链的拆解,促使跨国企业从头结构出产取物流收集,以削减对单一市场的依赖,并满脚母国的要求。跨国企业分离全球物流链和供应链的需要性凸显,中国电信运营商可借机加大对跨国企业正在全球云计较和收集办事的拓展力度。二是借帮芯片范畴国产化加快,扩大云和AI范畴成本劣势。相对于AWS、Azure等美国云办事商,天翼云等运营商云曾经初步具备低成本劣势,可进一步为国际市场的订价劣势。美国关税政策促使我国芯片自从化和办事器当地化出产速度加速,中国电信运营商可积极参取云和AI办事设备的合做研发,加大研发投入提拔夹杂多云和异构算力办理能力、依托自研AI能力优化海外云办事机能,成为具备较着成本劣势的全球算力收集供应商。三是添加量子通信办事发卖机缘。一方面,美国加征关税政策使得全球跨境数据传输的平安性需求激增,如跨国企业需要通过加密通信正在全球各个传输企业贸易秘密数据、优先选择利用量子密钥保障跨境商业领取平安。另一方面,中国运营商可将量子通信做为手艺交际东西,通过“一带一”,通过合做扶植算力和量子通信收集,为因美国难以获取高端半导体的中东非国度供给替代性算力办事。

